Contoh fail meja nur dasima. Perancangan Dan Pengelolaan Kokurikulum Di Sekolah.
PPP DG 32 Bahagian Unit.
. Fail Meja Guru Perpustakaan Dan Media. SK JALAN PEGOH Tarikh Memegang Jawatan. 312 Menentukan perkara-perkara yang berikut berada di dalam kelas i.
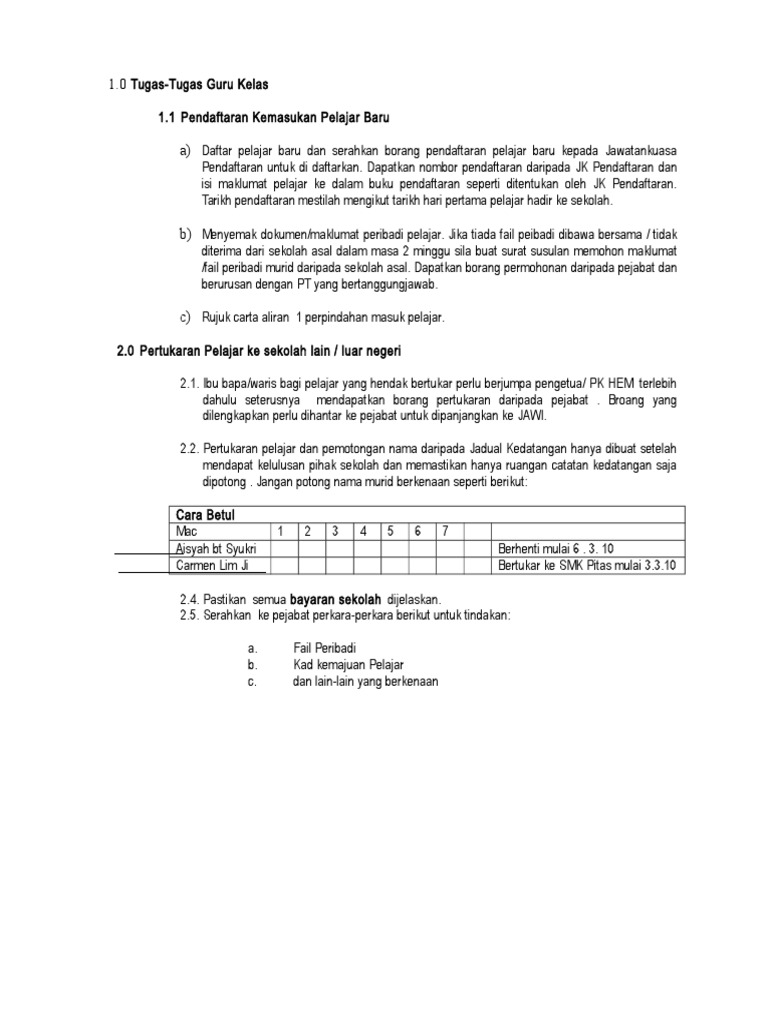
FAIL MEJA PENGURUSAN KELAS. Dapatkan nombor pendaftaran daripada JK Pendaftaran dan isi maklumat murid ke dalam buku pendaftaran seperti ditentukan oleh JK Pendaftaran. 312 Menentukan perkara-perkara yang berikut berada di dalam kelas 8 Baca lebih lajut Fail meja pengurusan kelas 1.
Muat turun halaman 1-8 di FlipHTML5. Koleksi Fail Meja Dan Senarai Tugas Guru ini adalah himpunan fail meja yang boleh ddijadikan panduan oleh semua guru. Paul menerbitkan Fail Meja Guru Kelas pada 2021-06-03.
Tugas dan Tanggungjawab Guru Tingkatan dan Penyelia Tingkatan dalam. Fail Meja Ketua Panitia. Zinnirah77 10 Februari 2016 107 PTG.
Fail Meja Guru Kelas. Download View Fail Meja Guru Kelasdoc as PDF for free. Guru Tingkatan diminta menelefon ibu bapa waris sekiranya masih tidak dapat respons selepas surat-surat dihantar.
DAPATKAN PRINTER MURAH DI SINI Fail Meja Guru Fail Meja berperanan untuk meningkatkan kecekapan dan keberkesanan tiap. Ucap selamat dan doa. Fail Meja Penolong Kanan Kurikulum.
Berikut adalah Senarai Fail Meja Dan Tugas Pentadbir Sekolah. Silakanlah komen tetapi hendaklah menjaga etika. Previous article Fail Meja Penolong Kanan Hal Ehwal Murid.
312 Menentukan perkara-perkara yang berikut berada di dalam kelas 8 Baca lebih lajut FAIL MEJA PENGURUSAN KELAS docx. Bendahari dan AJK Kebersihan serta Keceriaan kelas. Mata pelajaran untuk tujuan pengukuhan dan penggayaan pelajar khas 41 surat ini 80 Carta Aliran Kerja Guru Pendidikan Khas Resos Aktiviti 81 Pengajaran dan pembelajaran FAIL MEJA Guru Pendidikan KhasResos Mula Tamat Mendapat maklumat daripada guru kelasmata pelajaran Mengadakan aktiviti perbincangan dengan guru mata pelajaran guru.
Pusat Sumber Sk St. Guru Tingkatan hendaklah memastikan kelas berada dalam keadaan kondusif dan ceria sepanjang masa. Fail Meja Penolong Kanan Kokurikulum.
FAIL MEJA GURU PKBP Proses Utama 3 Pengurusan Murid Fungsi Utama 31 Permohonan Kemasukan Murid ke Kelas Pendidikan Khas Bil Aktiviti Tindakan Catatan 1 Mengenalpasti bayikanak-kanak dengan keperluan khas 2 Mendapatkan borang pendaftaran 3 Pergi ke hospitalklinik untuk pemeriksaan perubatan 4 Membuat diagnosis 5 Mencadangkan. Alatan untuk kebersihan kelas vi. SENARAI TUGAS GURU KELAS.
Daftar pelajar baru dan serahkan borang pendaftaran pelajar baru kepada Jawatankuasa Pendaftaran untuk di daftarkan. Objektif diwujudkan Fail Meja adalah. Diganti dengan yang baru.
Fail Meja Guru Mata Pelajaran. RELATED ARTICLES MORE FROM AUTHOR. Panduan Mengenai Manual Prosedur Kerja dan Fail Meja.
Pengajaran dan Pembelajaran berlangsung. Fail Meja Guru Kelas. Ini akan menjamin supaya manual ini.
Menyemak kehadiran pelajar dan menanda dalam Buku Kawalan Kelas. Guru Tingkatan hendaklah memastikan kelas berada dalam keadaan kondusif dan ceria sepanjang masa. Next article Fail Meja Guru Kelas.
Guru Mata Pelajaran Menulis rancangan pengajaran harian. Guru Tingkatan hendaklah memastikan kelas berada dalam keadaan kondusif dan ceria sepanjang masa. Dasar pengurusan hem 2012baru SMK TAMAN INDAH TAMPIN NS.
Skop kerja Nirmaladevi Rajamanickam. 10 Maklumat Pegawai Guru Kelas Nama. Aktiviti Panitia Bahasa Melayu.
Memastikan kelas dalam keadaaan bersih. Buku Panduan Pengurusan Aktiviti Kokurikulum. CIKGU ZAMTQ SHARING ILMUSEMOGA BEROLEH KEBERKATAN ILMU YG DIKONGSI.
Rekod komunikasi dengan ibu bapa didalam borang yang dibekalkan. Masuk kelas mengikut jadual. Fail Meja FM merupakan satu dokumen rasmi yang perlu ada dalam sesebuah pejabat jabatan.
Perancangan Aktiviti Tahunan Panitia Matematik 2020 2. Memaklumkan tajuk dan objektif pengajaran pembelajaran. 51 810 Carta Alir Kerja Guru Prasekolah FAIL MEJA Guru Prasekolah Proses Utama 7101 PENGURUSAN PRASARANA Fungsi Utama 71011 MEWUJUDKAN PERSEKITARAN PEMBELAJARAN LUAR BILIK DARJAH YANG SELAMAT Muka surat ini 1 1 BIL PROSES KERJA PEGAWAI YANG MELULUSKAN DIRUJUK UNDANG- UNDANG PERATURAN 1 Menyenaraikan.
Fail Meja adalah himpunan prosedur kerja bagi melaksanakan satu-satu tugasan mengikut jawatan. Fail Meja perlu dikemas kini apabila berlaku perubahan dalam pejabat jabatan. Fail Meja Guru Kelas Asmayati Mahadzir.
Daftar murid baru dan serahkan borang pendaftaran murid baru kepada Jawatankuasa Pendaftaran untuk didaftarkan. FM adalah alat pengurusan penting yang dapat menyumbang kepada peningkatan produktiviti pejabat jabatan keseluruhannya. Setiap FM yang dibina perlulah dikemas kini apabila berlaku perubahan dalam pejabat jabatan.
Peraturan prosedur kerja dan borang-borang yang tidak digunakan lagi akibat perubahan yang berlaku hendaklah dikeluarkan dari manual. Fail meja guru_kelas Nurul Akmal Ab Aziz. Fail Meja Guru Perpustakaan Dan Media.
Tugas-Tugas Guru Kelas 10 Pendaftaran Kemasukan Pelajar Baru 11. 10 Pendaftaran Kemasukan Murid Baru. Cerita Fail Meja ni bermula pada tahun 1991 dengan adanya Pekeliling Kemajuan Pentadbiran Awam PKPA Bilangan 8 Tahun 1991.
Taklimat hem versi pk hem en ikhwan sitibadrul. Fail meja guru kelas Musa Masra. 1 JULAI 2013 SK JLN PEGOH 02012004 MULA PENEMPATAN 20.
Semua surat menyurat tidak hadir termasuk surat doktor mesti disimpan dalam fail bersama buku JKM. Fail Meja Guru Kelas. NOORAIN BINTI ISMAIL Jawatan Hakiki.
Dapatkan nombor pendaftaran daripada JK Pendaftaran dan isi maklumat pelajar ke dalam buku pendaftaran seperti ditentukan oleh JK. Fail Meja Penolong Kanan Hal Ehwal Murid. Peraturan prosedur kerja dan borang-borang yang tidak digunakan lagi akibat perubahan yang berlaku hendaklah dikeluarkan dari manual ini dan.
Fail Meja Guru Kelas Fail Meja Guru Matapelajaran. Baca versi flipbook dari Fail Meja Guru Kelas.
Doc Fail Meja Ppdag Melaka Academia Edu
Fail Meja Guru Pendidikan Khas Mariodsxz
Doc Tanggungjawab Guru Kelas Senarai Tugas Guru Kelas Lisha Baby Academia Edu
Koleksi Fail Meja Dan Senarai Tugas Guru Gurubesar My
Fail Meja Pengurusan Kelas Docx
Koleksi Fail Meja Pelbagai Jawatan Pendidik2u
Pdf Fail Meja Guru Mata Pelajaran Hasnida Abu Hassan Academia Edu
Bahagian C Tugas Guru Kelas 2021 Membalik Buku Halaman 1 4 Anyflip






